METODA LUI NEWTON
2.1.Metoda lui Newton
Metoda lui Newton sau metoda tangentei este o metoda aplicata în practica pentru rezolvarea ecuatiilor si sistemelor neliniare. Aceasta metoda este importanta deoarece cu ajutorul ei se pot trage concluzii privind existenta, unicitatea si domeniul în care se gaseste solutia fara a o gasi în mod explicit.
În continuare vom prezenta metoda lui Newton în spatiile R, Rn si spatii Banach.
2.1.1Metoda lui Newton în spatiul R
Metoda lui Newton în spatiul R este cunoscuta si sub numele de metoda tangentei.
Se considera functia f : [a,b] ® R de clasa C1([a,b]).
Presupunem ca în intervalul [a,b] ecuatia f(x) = 0 admite o singura radacina x*.

În figura se poate urmari constructia sirului iterativ xk.
Se alege ca punct de plecare punctul x0 = b si în punctul M0(x0 , f(x0)) se duce tangenta la graficul functiei care intersecteaza axa OX în punctul x1. În continuare vom duce o tangenta în punctul M1(x1 , f(x1)) care taie axa OX în punctul x2 si asa mai departe pâna se formeaza sirul iterativ xk.
Sirul x0, x1, … converge catre x* care este radacina ecuatiei f(x) = 0.
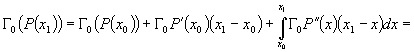
Presupunem ca am ajuns în punctul Mn(xn , f(xn)) si trebuie sa scriem ecuatia tangentei dusa la graficul functiei. Ecuatia tangentei arata astfel:
![]()
Pentru y = 0 rezulta x = xn+1.
Înlocuind în ecuatie obtinem:
.
De unde rezulta:
.
Fie functia iterativa
. Deoarece
j (x) este iterativa, atunci xn+1 = j (x).
Trebuie asigurata existenta sirului iterativ ( f¢ (xn) ¹ 0) si convergenta sirului catre x*.
Teorema (OSTROWSKI)
Fie f Î C2([a,b]) si fie x0 Î [a,b]. Presupunem ca urmatoarele conditii sunt îndeplinite:
1. f¢ (x0) ¹ 0;
2. [x0
, x0+2h0] = I0, unde
este
inclus în intervalul [a,b];
3.
, unde
, x Î I0.
Atunci ecuatia f(x) = 0 are o unica solutie x* Î I0 , iar sirul {xk}kÎ N dat de metoda lui Newton este bine definit si converge la x*.
Eroarea aproximatiei este data de:
.
Dem:
Aplicam formula cresterilor finite pentru functia f¢ în punctele x0 si x1:
![]()

.
Folosind inegalitatea triunghiului obtinem:
![]()
![]()
De aici rezulta :
si deci x2 este bine
definit.
Fie

Calculam I în doua moduri:
1) Prin parti


2) Se face schimbarea de variabila:
x = x0 + h0 * t;
dx = h0 dt
(*)
Notam:
![]()
Pentru
![]()
Atunci, înlocuind în (*) obtinem:


![]()
are sens pentru ca conditia 1) este evidenta.
Trecând pe h1 în modul obtinem:
.
Vom arata ca:



De aici rezulta:
.
Luam I1 = [x1 , x1+2h1]. Dorim sa aratam ca I1 Ì I0.
Pentru a demonstra ca I1 Ì I0 aratãm ca
.
.
Prin recurenta se obtine pentru orice numar natural kÎ N ca: f¢ (xk) ¹ 0;
;
;
;
.
De aici rezulta ca sirul {xk}kÎ N este bine definit.
În continuare vom demonstra ca sirul {xk}kÎ N este un sir Cauchy.
este descrescator si lungimea intervalului
tinde catre 0.
, de unde rezulta ca sirul este fundamental.
Orice sir fundamental este convergent, rezulta ca exista limita sirului {xk}kÎ N si se noteaza cu
.
.
Trecând la modul obtinem:
, unde
.
De aici rezulta ca f(xk) ® 0.
Deoarece f este continua, rezulta ca:
, deci
x* este solutie a ecuatiei f(x) = 0.
În continuare aratam ca solutia ecuatiei f(x) = 0 este solutie unica în [a,b].
Fie un punct x Î ( x0 , x0 + h0 ).
Aplicam formula cresterilor finite pentru functia f¢ si obtinem:

Rezulta ca:
Þ f monoton crescatoare
f¢ (x)>0
sau f monoton descrescatoare f¢ (x)<0 pentru orice
x Î ( x0 , x0 + h0 ). Rezulta ca taie axa OX, dar într-un singur punct, deci am
asigurat unicitatea solutiei.


Facem ca p ® ¥ si obtinem pentru k fixat:
![]()
Def.: Sirul iterativ
{xk}kÎ N convergent catre x* are ordinul de convergenta pÎ
R daca:
, unde c este o constanta si
este valoarea absoluta.
Deci:
.
Daca p=1, atunci spunem ca avem o convergenta liniara, iar pentru p=2 avem o convergenta patratica.
Daca 1 < p < 2, atunci avem convergensa superliniara.
Obs.: Cu cât p este mai mare cu atât sirul iterativ va fi mai rapid convergent.
Teorema
Sirul iterativ obtinut prin metoda tangentei are ordinul de convergenta patratica.
Dem :
Conform formulei lui Taylor: ![]()
![]()
Stim ca
, atunci înlocuind în ecuatia de
mai sus obtinem:
![]()
Împartind ecuatia cu ( x* -xn )2 obtinem:

Trecând la limita obtinem:

Folosind rezultatele din aceasta teorema se poate obtine si un alt criteriu de oprire.
, unde
![]()
Din inegalitatea de mai sus obtinem:
![]()
Pentru:
n = 0 avem:
![]()
n = 1 avem:
![]()
………………………………………
n
![]()
Impunem conditia ca c*D (x0) < 1. Din aceasta conditie si ultima inegalitate rezulta:
![]()
De aici rezulta ca xn+1 ® x*.

Avantajul metodei lui Newton este faptul e o metoda rapid convergenta.
Dezavantajul metodei lui Newton este faptul ca e o metoda locala, adica punctul initial de plecare x0 trebuie sa fie suficient de aproape de radacina cautata x*.
Un alt dezavantaj al metodei este faptul ca necesita derivata de ordin I.
În practica derivata de ordin I se înlocuieste cu ajutorul formulelor de derivare numerica, adica:
, unde
h este foarte mic, h > 0.
Ca sa calculam de fiecare data derivata functiei f în punctul xn se foloseste metoda simplificata a lui Newton care arata astfel:
.
Alegerea punctului initial de plecare
Punctul initial de plecare se alege astfel:
![]()

Algorim metoda tangentei
Fie a, b, f, e e -precizie dinainte data
Fie y:=a;
Daca
atunci y:=b;
Repeta
x:=y;
y:=j (x);
![]()
pâna când
;
Tipareste y;
2.1.2.Metoda lui Newton în spatiul Rn
Se considera functia
fI :D Í Rn ® R,
si sistemul fI(x1,…,xn) = 0,
si (x1,…,xn) Î D.
Daca se considera aplicatia f : D® Rn, astfel încât:
, atunci
sistemul poate fi scris si sub
forma ecuatiei vectoriala: f(x) = 0, unde xÎ D si 0 este elementul nul al spatiului Rn.
Se considera ecuatia f(x) = 0.
Fie x* Î D o solutie a acestei ecuatii, iar x(k) o aproximatie a lui x*. Notând cu e (k) eroarea de aproximare a lui x* prin x(k) avem:
x* = x(k) + e (k).
Pentru n = 2 în spatiul R2 avem un sistem neliniar:
, unde
f, g : D Í
R2 ® R.
Consideram notatia:
.
Consideram punctul de plecare (x0 , y0) în care ducem o dreapta perpendiculara pe planul XOY care intersecteaza suprafetele în punctele M1 si M2. Ducem doua plane tangente la cele doua suprafete în punctul M1, respectiv M2. Cele doua plane se intersecteaza dupa o dreapta care taie planul XOY în punctul (x1 , y1) care este urmatorul punct de iteratie.
Fie sistemul sub forma implicita:
.
Presupunând ca am ajuns în punctul de iteratie (xk , yk) Î XOY calculam derivatele functiilor f si g:

Din cele doua ecuatii scoatem pe z si obtinem urmatorul sistem de ecuatii:

Pentru z = 0 obtinem urmãtorul punct de iteratie (xk+1 , yk+1) Î XOY si se formeaza urmatorul sistem:

Rezolvam sistemul astfel:

Scoatem pe xk+1 si yk+1 si obtinem:

Notam cu
, unde J(f,g)(xk,yk) reprezinta matricea jacobiana.
Astfel vom obtine:
xk+1 = xk – J-1(xk) * f(xk), adica
xk+1 = xk – (f¢ (xk))-1 * f(xk).
Fie f : Rn ® Rn unde f = (f1 ,…,fn )
Pentru obtinerea solutiei x a sistemului vom dezvolta aceasta functie în serie Taylor în vecinatatea unui punct xk:
![]()
Îi atribuim lui x valoarea xk+1 si obtinem:
, de unde
.
Fie sistemul f(x) = O Rn .
Teorema (Kantorovici)
Fie functia f : D Ì Rn ® Rn o functie data, diferentiabila Frechet pe o multime convexa D0 Ì D si fie x0 Î D0 punct initial de plecare.
Presupunem ca urmatoarele afirmatii sunt satisfacute:
1. Exista (f¢ (x0))-1 si
;
2.
, " x,y Î D0.
3.
![]()
4.
![]()
5. B0 = B(x0,r0) Ì
D0, unde
;
atunci ecuatia f(x) = O Rn admite o unica solutie x* Î D0, iar sirul {xk}kÎ N dat de metoda lui Newton-Raphson este bine definit si converge la solutia ecuatiei x*.
Eroarea la iteratia k este data de:
![]()
Pregatirea demonstratiei
Fie X,Y doua spatii normate reale peste un spatiu K.
Notam cu L(X,Y) = {T : X® Y ½ T liniara} – multimea tuturor operatorilor liniari.
Lema1
Spatiul L(X,Y) este o algebra.
Dem:
, " xÎ X , " T,S Î
L(X,Y);
, " x Î X , " a Î R , " T Î L(X,Y);
, " x Î X , " T, S Î
L(X,Y).
L(X,Y) satisface axiomele unei algebre cu operatiile definite mai sus, adica: (L(X,Y) , + , *) formeaza un spatiu vectorial real si (L(X,Y) , + , ° ) formeaza un inel.
Def.
Fie T:X® Y un operator liniar. Spunem ca T este marginit daca exista o constanta pozitiva c astfel încât:
, " x Î X.
Lema2
Fie T:X® Y un operator liniar. Atunci T este continuu daca si numai daca T este marginit.
Notam: ![]()
Lema3
(L(X,Y) ,
) este
o algebra normata notata cu L(X,Y).
Dem.:
Avem de verificat conditiile:

Lema4
Daca TÎ L(X,X) astfel încât
, unde I este un operator unitate, atunci T este un element inversabil în algebra si
.
Dem.:
Fie sirul
. Vom arata ca acest sir este un sir Cauchy în spatiul L(X,X).
Fie N > M, atunci:
![]()
.
Dar spatiul L(X,X) este un spatiu complet, deci exista limita:
Î L(X,X) .
Din compunerea celor doua spatii obtinem:
![]()
![]()
De aici rezulta ca:
.
Calculam norma lui T-1 si obtinem:
![]()
.
Lema5
Daca T,S Î L(X) astfel încât exista T-1Î L(X) si
si a *b <1,
atunci exista S-1Î L(X) si
.
Dem.:
Fie
.
Deoarece:
, conform lemei4 rezulta ca Ix
–U este inversabil în
spatiul L(X) si
![]()
Deci exista inversul lui S.
Deoarece:
.
Calculam norma lui S-1 si obsinem ceea ce trebuia demonstrat:
.
Rezultatele anterioare se pot particulariza prin alegerea lui X=Rn. Se va obtine ca spatiul L(Rn), spatiul matricilor de ordin n, este o algebra Banach în care sunt valabile lemele 4 si 5.
Lema6
Fie G: DÌ Rn ® Rn un operator diferentiabil Frechet pe o multime convexa D0 Ì D. Presupunem ca derivata Frechet G¢ are proprietatea Lipschitz pe D0:
, " x,y Î D0.
Atunci pentru orice x, y Î D0 avem:
.
Demonstratia teoremei Newton-Raphson-Kantorovici
Se observa conform conditiei 3 ca:
![]()
Întrucât h 0 < r0 , rezulta ca x1 Î B0.
Asadar, putem folosi conditiile 2 si 4 si avem:
.
Conform lemei5 exista ( f¢ (x1))-1 si
![]()
,
unde :

Definim:
.
Deci, urmatoarea iteratie x1 satisface o relatie de forma (1).
Vom cauta sa aratam ca sunt satisfacute relatiile analoage si (3), (4), (5).
Se observa ca pentru T= ( f¢ (x0))-1 * f¢ (x1) avem:
![]()
![]()
Conform lemei4 exista T-1 si

Adica, vom avea
.
Trecând la norma obtinem:
![]()
.
Pentru a majora pe
se introduce operatorul : G(x)=x-(f¢ (x0))-1f(x), unde
G este diferentiabil Frechet pe domeniul D0 si diferentiala
.
Deci, vom avea:
![]()
.
Notam G¢ (x0) = O n.
Conform lemei6 avem:
![]()
.
Daca notam
obtinem o relatie analoaga cu conditia 3, adica: ![]()
Notând
obtinem:
.
Consideram sfera B1 = B(x1,r1), unde
. Înlocuind pe a 1, h 1 cu expresiile lor
în functie de a 0, h 0, obtinem prin calcul direct:
r1 = r0 - h 0.
Aratam ca B1 Ì B0.
Fie xÎ
B1, deci
. Prin urmare:
, adica x Î B0 si B1 Ì
B0.
Prin inductie matematica (trecerea de la k la k+1 este absolut similara cu trecerea de la 0 la 1 ) se poate arata ca pentru orice k Î N exista
si
, unde:

Din aceste relatii rezulta ca sirul (xk)k dat de metoda lui Newton este bine definit si apartine lui B0.
Pentru convergenta sirului observam ca:
.
Se itereaza si obtinem:
![]()
Prin urmare:
.
Pe de alta parte:
![]()
, de unde rezulta ca
.
Prin calcul direct obtinem ca
, deci (Bk) este un sir descendent de multimi cu diametrul
tinzând la zero. Conform teormei lui Cantor exista un singur punct x* care
apartine la toate multimile Bk, iar sirul (xk)
(centrele sferelor) converge la x*.
Pentru a arata ca x* este solutia ecuatiei f(x) = O Rn se observa
ca functionala
este continua pe B0 , f¢ fiind lipschitz.
Deci,
este marginit pe B0 conform teoremei lui Weiersstras, deci
, " x Î
B0.
![]()
.
De aici rezulta ca:
.
Pentru evaluarea erorii avem:
.
Algoritm metoda Newton-Raphson-Kantorovici
-date de intrare: f, e, y(=x0).
repeta
x:=y;
y:=j (x);
![]()
pâna când
tipareste y;
2.1.3.Metoda lui Newton în spatii Banach
2.1.3.1.Ecuatii de tip P(x) = 0
1.Fie operatorul P care aplica multimea deschisa W din spatiul Banach X în spatiul Banach Y: P:W Ì X ® Y.
Presupunem ca în multimea W exista un element x* astfel încât P(x* ) = 0. Fie x0 Î W. Presupunem ca operatoul P are o derivata continua în L; putem înlocui elementul P(x0) = P(x0) – P(x* ) cu expresia P¢ (x0)(x0-x* ) si, în consecinta, solutia ecuatiei P¢ (x0)(x0 - x) = P(x0) sa fie apropiata de x*.
Aceasta ecuatie este liniara, iar solutia ei este:
.
Pornind de la aproximatia initiala x0, continuând acest proces obtinem un sir (xn)n definit prin:
.
Fiecare xn este o solutie aproximativa a ecuatiei P(x) = 0, cu atât mai precisa cu cât n este mai mare.
Aceasta metoda care duce la construirea sirului (xn)n se numeste metoda lui Newton.
2.Fie ecuatia:
x = S(x), (1)
unde operatorul S este definit pe bila
din spatiul
Banach X, x0Î X.
Consideram si ecuatia reala:
t = j (t), (2)
unde functia j este definita pe intervalul [t0 , t¢ ].
Spunem ca functia j (ecuatia (2)) majoreaza operatorul S (ecuatia (1)) daca:
1)
![]()
2)
;pentru
(3)
Teorema1
Fie operatorul S având derivata continua
în bila închisa W 0 (
), iar functia j diferentiabila pe [ t0 , t¢
]. Atunci, daca ecuatia (2) majoreaza
ecuatia (1), iar ecuatia (2) are o radacina în intervalul [ t0 , t¢ ], ecuatia (1) va avea
si ea o solutie x* catre care converge sirul (xn)n:
xn+1 = S(xn) , n = 0, 1, … ,
având ca punct initial x0.
În acest caz:
,
unde t* este cea mai mica radacina din intervalul [t0 , t¢ ] a ecuatiei (2).
Dem.:
Pentru început aratam ca sirul aproximatiilor succesive pentru ecuatia (2): tn+1 = j (tn) este convergent.
Astfel, din conditia 2) rezulta inegalitatea j ¢ (t)³ 0, tÎ [t0 ,t¢ ], deci functia j este crescatoare pe intervalul [ t0 , t¢ ]. De aici rezulta ca tn are sens pentru orice n si în plus:
este radacina ecuatiei (2), a carei existensa
este asigurata din ipoteza.
Pentru n = 0 aceasta inegalitate este certa
si daca ea are loc si pentru n = k din
rezulta ca
, adica
, atunci conform monotoniei functiei j si prin inductie ea are loc pentru orice n.
Din
rezulta ca
, iar inegalitatea
este consecinta ipotezei 1). Astfel, am demonstrat existenta limitei
care conform continuitatii functiei j rezulta
ca t* este radacina a ecuatiei (2) si este cea mai mica radacina di intervalul
[ t0 , t¢ ].
Aratam ca toate elementele xn+1 = S(xn) au sens si formeaza un sir convergent.
Reprezentând ecuatia (3) sub forma:
, observam ca x1 Î
W 0.
Presupem ca x1,x2,…xnÎ W 0 si ca:
. Atunci
avem:
.
Notam prin x si t punctele corespunzatoare
intervalelor [xn-1, xn] si [tn-1, tn], atunci: ![]()
.
Atunci vom avea:
![]()
.
În conformitate cu conditia 2) avem:
si obtinem:
.
Am aratat ca xn+1 Î W 0, deoarece:
![]()
![]()
Deci, am demonstrat ca prin inductie ca xk Î W 0, pentru orice k = 0, 1, …
Deoarece:
![]()
,
sirul (xn)n este fundamental, deci are limita.
Notam cu
.
Trecând în ecuatia xn+1 = S(xn) la limita si tinând cont de continuitatea operatorului S obtinem:
x* = S(x* ), adica x* este radacina a ecuatiei (1).
Estimarea
rezulta din
. Dacã punem n = 0 obtinem:
.
Trecând la limita pentru p® ¥ obtinem:
.
Observatii
1. Inegalitatea
ne da o estimare a vitezei de convergenta
a sirului (xn)n catre x*.
2. Ecuatia (1) poate avea în bila W 0 si alte radacini diferite de x*, chiar daca solutia t* este unica în intervalul [t0 ,t¢ ]
3.Investigarea metodei lui Newton pentru ecuatia P(x) = 0.
Fie operatorul P definit pe bila W (
)din spatiul X si are bila închisa W 0 (
) derivata
a doua continua.
Consideram ecuatia reala: y (t) = 0.
Presupunem ca functia j este de doua ori continuu diferentiabila pe intervalul [t0 ,t¢ ], unde t¢ = t0 +r .
Teorema2
Fie urmatoarele conditii îndeplinite:
1) exista operatorul liniar continuu
;
2)
;
3)
;
4)
, pentru
![]()
5) ecuatia
are în intervalul [t0 , t¢
] radacina
.
Atunci metoda lui Newton luând ca aproximatii initiale x0 si t0 converge catre solutiile x* si t*, iar
.
Dem.:
Metoda lui Newton pentru ecuatia P(x) = 0 este echivalenta cu metoda aproximatiilor succesive aplicata ecuatiei x = S(x), unde
![]()
În acelasi timp putem înlocui aplicarea algoritmului lui Newton modificat ecuatiei y (t) = 0 cu aproximatiile succesive pentru ecuatia t = j (t), unde:
.
Aratam ca pentru aceste ecuatii sunt satisfacute ipotezele teoremei 1.
Avem:
![]()
Conform conditiei 3) avem:
.
Folosind reguluile de diferentiere, obtinem:
![]()
si atunci:
.
Folosind conditia 4) avem:
;
daca x si t satisfac inegalitatea
.
Teorema3
Fie îndeplinite conditiile teoremei2. Atunci algoritmul lui Newton pentru ecuatia P(x) = 0, având ca punct initial x0, este realizabil si conduce la sirul (xn)n care converge catre radacina x* a ecuatiei P(x) = 0.
Dem.:
Din teorema 2 rezulta ca x1 are sens si x1 Î W 0.
Verificam daca ipotezele teoremei 2 ramân valabile daca înlocuim x0 cu x1, iar t0 cu t1. Consideram operatorul:
.
Normând obtinem:
.
Având în vedere ca
pe tot
intervalul [t0 , t¢ ], iar
, minimul functiei y (t) nu poate fi atins la stânga punctului
t*. Deoarece t1 £ t* si
rezulta ca:
si
deci q < 1.
În conformitate cu teorema lui Newton exista operatorul liniar continuu:
, cu proprietatea ca:
, unde
.
În consecinta exista operatorul liniar continuu:
.
Deci, conditiile 1) si 2) sunt verificate.
În continuare demonstram ca:
.
Conform formulei lui Taylor avem:


Procedând în mod analog obtinem:
.
Deoarece pentru punctele corespunzatoare x si t din segmentele [x0 , x1] si [t0,t1] avem:
, obtinem:
.
Tinând seama de relatiile (4) si (3) obtinem:
, deci ipoteza 3) este satisfacuta.
Conditia 4) se verifica asemanator.
Se observa ca daca:
,
atunci
.
De aceea:
.
Conditia 5) nu este încalcata, deoarece
daca radacina
apartine intervalului
[t*
,t¢ ], ea va apartine si
intervalului [t1 , t¢ ].
Deoarece sirul (tn)n este crescator si marginit, el va avea limita
, iar din inegalitatea:
, rezulta ca sirul (xn)n are limita
.
Din (1) obtinem relatia:
.
Fie x Î W 0, arbitrar. Folosind formula cresterilor finite avem:
, de unde rezulta ca
sunt egal marginite.
Daca trecem la limita obtinem:
, adica
este radacina a ecuatiei (2)
Analog,
este radacina ecuatiei
y (t) = 0 si stiind ca
, iar t* este cea mai mica radacina,
atunci
.
Deoarece
, atunci
.
4.Teorema lui Newton-Kantorovici
Fie operatorul P definit pe W si având derivata a doua continua în W 0. În plus:
1) exista operatorul liniar continuu
;
2)
;
3)
.
Atunci, daca:
(4)
si
, (5) atunci ecuatia P(x) = q x are solutia
x*
catre
care converg algoritmii lui Newton (de baza si modificat). În acest caz:
.
Daca, în plus, pentru
avem:
, (6)
iar pentru
avem:
, (7) atunci solutia x* este unica în
bila W 0.
Viteza de convergenta a algoritmului lui Newton este caracterizata de inegalitatea:
, (8)
iar cea a algoritmului modificat, pentru
, de:
.(9)
Dem.:
Consideram functia reala y definita pe intervalul [0,r] astfel:
.
Verificam ca operatorul P si functia y satisfac toate ipotezele teoremei2. Valabilitatea conditiilor 1) - 4) este evidenta. Deoarece radacinile ecuatiei y (t)=0 sunt:
si
,
inegalitatea (4) ne asigura existenta radacinilor, iar conditia (5) ne garanteaza ca cea mai mica radacina r0 este continuta în intervalul [0,r].
Pentru a demonstra inegalitatile (8) si (9) , care caracterizeaza viteza de convergenta, este suficient sa consideram doar sirurile reale (tn)n si (t¢ n)n de aproximatii succesive ale algoritmului lui Newton si, respectiv, a celui modificat.
Consideram, mai întâi, metoda de baza.
Notam:
,
,
,
.
Exprimam pe hn, kn, hn prin aceleasi marimi, dar cu indexul mai mic cu o unitate. Observam ca:
![]()
Aplicând formula lui Taylor polinomului de gradul doi, vom obtine:
![]()

Dar
(10)
Deci:
. (11)
Procedând similar, cu ajutorul relatiei (10), vom obtine:
.
De aici, obtinem:
. (12)
Din relatiile (11) si (12) obtinem, tinând seama de
,

Deci, în consecinta,
si
.
De aici obtinem:
![]()

Rezulta estimarea relatiei (8).
Estimam, acum, eroarea metodei modificate.
Presupunem
. Notând functia cu j putem
scrie:
, unde
.
Dar
, astfel ca:
.
De aceea:
![]()
În continuare, procedând la fel
estimam
s.a.m.d, obtinând
în final:
.
În final obtinem:
.
Observatie
1. Conditiile 2) si 3) ale teoremei pot fi înlocuite cu:
1¢ )
;
2¢ )
;
3¢ )
.
În acest caz h, r0 si r1 sunt date de:

2. Relatiile (4), (5), (6) sunt precise, în sensul ca pentru ecuatia patratica y (t) = 0 încalcarea uneia dintre pimele doua relatii conduce la absebta solutiei acestei ecuatii, iar fara relatia (6) sau (7) nu avem unicitate.